Cali
Retiran de circulación 18 buses del transporte masivo MÍO; conozca la razón
Según los denunciantes, este hecho que ocurrió este martes 14 de noviembre se debe a una decisión del Banco de Occidente por medio de una orden judicial.
Siga a EL PAÍS en Google Discover y no se pierda las últimas noticias

15 de nov de 2023, 04:55 p. m.
Actualizado el 15 de nov de 2023, 04:55 p. m.
Noticias Destacadas
Esto, de acuerdo con una denuncia hecha en la cuenta ciudadana de X (antiguo Twitter) @MIOusuarios, los buses de tipología padrón fueron retirados por orden del Banco de Occidente a través de una orden judicial.
Parte de la flota de 18 vehiculos que son retirados del patio puertas del sol por parte del Banco de Occidente mediante orden judicial.
— MIO Usuarios🚌 (@MIOusuarios) November 14, 2023
Muy seguramente esos 18 buses serán chatarrizados.#CaliCiudadEuropea pic.twitter.com/iAlgHW64TJ
En dicha publicación, se puede apreciar un video en el cual algunos de estos buses están siendo sacados de dicho patio por las grúas y se muestra la parte interior de ellos en donde hay varios elementos oxidados de los motores.

Consideraciones de la orden judicial
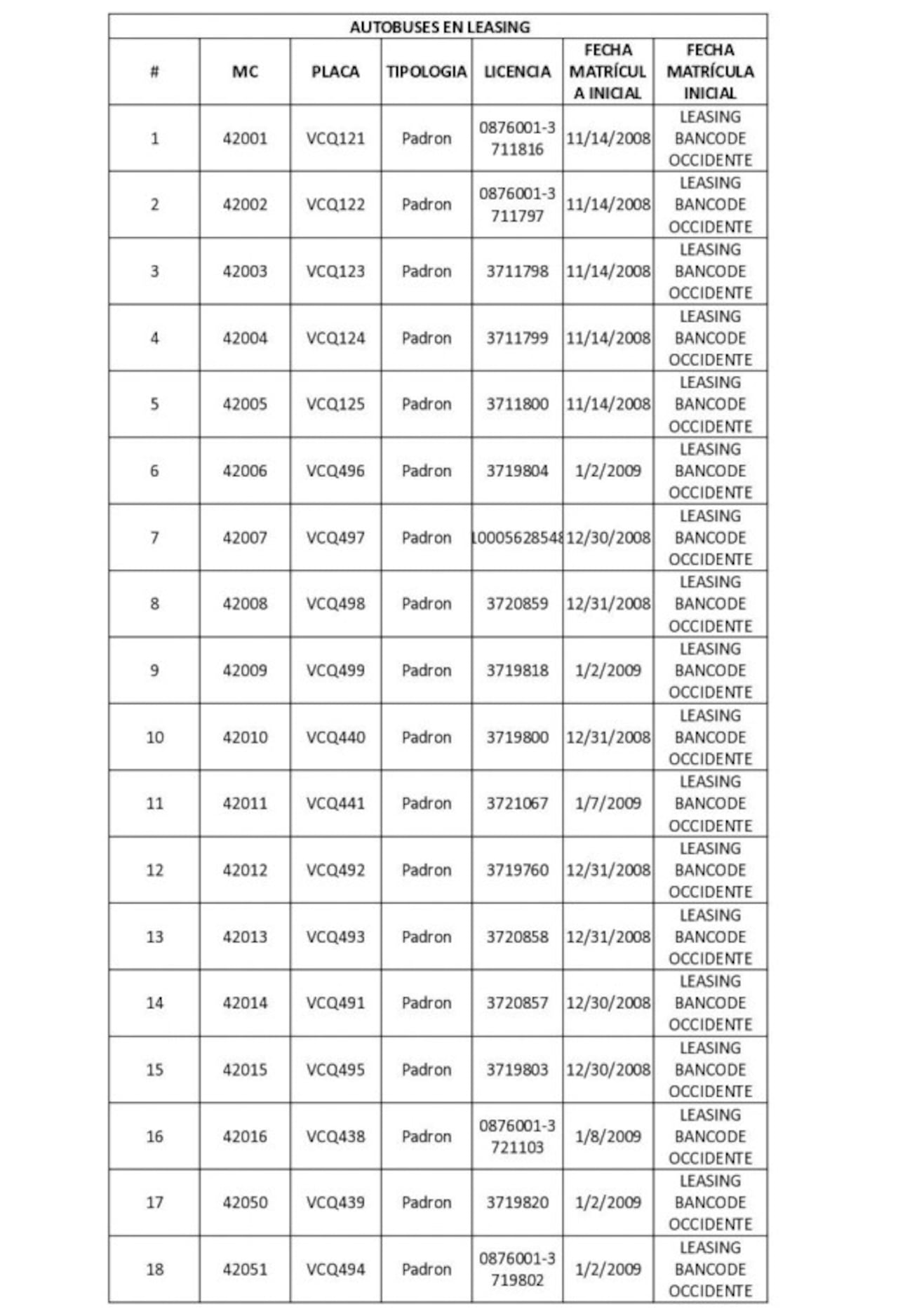
En el documento de la orden judicial realizada por la firma de abogados ‘Agudelo Abogados Asociados’, resaltan que entre la Unión Metropolitana de Transportadores S.A. (Unimetro) y la entidad financiera Banco de Occidente se había celebrado un contrato de Leasing No. 180-54665, en la cual la entidad financiera del Grupo Aval era propietaria de los 18 buses que fueron retirados de circulación este martes.
Posteriormente, se muestra un cuadro de dichos bienes con sus respectivos datos como la placa, tipología, licencia y fecha de matrícula inicial.

Y en la segunda parte, se lee el argumento por el que el Banco de Occidente decide retirar los buses: “El Juzgado Tercero (3°) Civil del Circuitro de Cali mediante Sentencia No. 112-2017 del 8 de agosto de 2017 declaró terminado el contrato de Leasing No. 180-54665, por lo que ordenó a Unión Metropolitana de Transportadores S.A. (Unimetro), hacer entrega de los bienes a Banco de Occidente.”
Estaciones del MIO en Cali contarán con seguridad privada; así funcionará la nueva estrategia

Desde la Terminal del MIO Simón Bolívar, el pasado miércoles primero de noviembre las autoridades anunciaron que este componente busca complementar la labor de los policías que desde hace varios meses trabajan para garantizar la seguridad de los 300 mil usuarios del sistema.
A los 106 policías y los gestores de convivencia de la Alcaldía y la Gobernación se añaden más de 300 unidades de seguridad privada y cerca de 60 jóvenes que hacen parte del Plan Perla de la Secretaría de Seguridad y Justicia.
Las unidades de seguridad privada prestarán 18 horas de servicio entre las 5:00 a. m. y las 11:00 p. m. en las 61 estaciones del MIO y cubrirán las 24 horas del día en las siete terminales. Mientras tanto, los jóvenes del Plan Perla que se integran a la estrategia de seguridad apoyarán las labores de cultura ciudadana para contrarrestar la evasión del pago del pasaje y cuidar la infraestructura en el sistema.
“Tenemos un compromiso con los ciudadanos que abordan el Sistema de Transporte Masivo MIO, con Metrocali, para adoptar en el Sistema 106 policías de manera permanente. También estamos sumando a unos jóvenes vinculados en el Programa Perla y en el Programa Cali Incluyente para contrarrestar la evasión”, destacó el secretario de Seguridad y Justicia, Jimmy Dranguet.
Daños a estaciones y buses, enfrentamientos con armas y hurtos constantes son los ingredientes de la crisis que afronta el sistema. Por esa razón, desde el pasado 4 de julio empezó a operar el convenio entre Metrocali, la Alcaldía de Cali y la Policía Metropolitana de la ciudad, para dotar de uniformados a las estaciones y terminales y con esto buscar que retorne la tranquilidad de los usuarios del MIO, que en un 50 % aseguraron no estar satisfechos con el servicio, entre otras razones, por la inseguridad.
Si se distribuyeran de manera equitativa, serían alrededor de 1,5 uniformados por estación. El convenio irá hasta el próximo 31 de diciembre y en él se invertirán aproximadamente $ 4.500 millones.
Comunicador social, periodista, y especialista en Escritura Creativa en Nuevos Medios de la Universidad Autónoma de Occidente. Periodista web de El País desde el 2023. Experiencia en periodismo escrito con énfasis en política y conflicto armado, en fotografía y edición de productos sonoros.
6024455000








